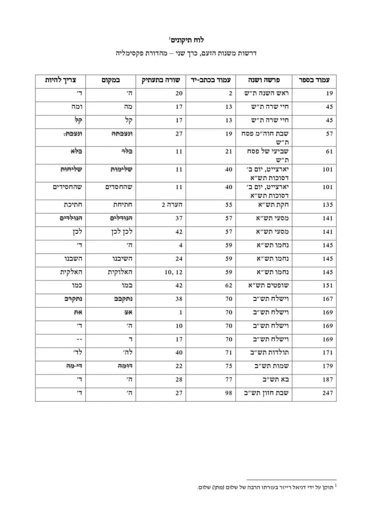
דף הבית ❯ דפי רשות המחקר ❯ דרשות משנות הזעם – דף תיקונים
יועצי הלימודים והרישום שלנו כאן לכל השאלות. השאירו פרטים וינתן מענה בהקדם